Matlab code for Symmetrical Uncertainty

$3
0 ratings

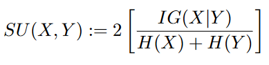
SU is the main function of the calculation of summetrical uncertainty between two variables X and Y. Generally it is used to mesure the correlation between a variable X and the labels Y in order to mesure the strength of the variable. It is a powerful mesure.

I want this!

Downloading it, you will get SU, IG (information gain), m_entropy (entropy of a variable X) and mj_entropy(entropy of two variables X and Y).

Copy product URL
$3

Matlab code for Symmetrical Uncertainty

0 ratings
I want this!